Dermatite atopique et comorbidités, un tour d’horizon

Alors que depuis une dizaine d’années le nombre de traitements possibles de la dermatite atopique (DA) a explosé, il devient nécessaire de prendre en compte les comorbidités atopiques et non atopiques qui peuvent influer sur la prise en charge. Une publication du Journal of Allergology and Clinical Immunology fait un tour d’horizon exhaustif des pathologies associées qui peuvent s’améliorer (la conjonctivite avec la ciclosporine ou l’asthme avec le dupilumab) ou s’aggraver sous traitement.

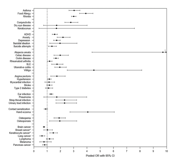
Représentation graphique du risque de comorbidité chez les patients atteints de dermatite atopique

Comorbidités atopiques

Du fait de facteurs de risques génétiques partagés, certaines pathologies atopiques sont plus représentées chez les patients atteints de dermatite atopique. C'est le cas de la rhinite (40,5 % des patients), de l'asthme (25,7 %), de la conjonction rhinite-asthme (14,2 %), des allergies alimentaires (24,1 %) et de l'hypersensibilité à certaines aliments (28,6 %). 

Comorbidités oculaires

La cataracte sous-capsulaire antérieure, le kératocône et la conjonctivite récurrente sont des critères mineurs de dermatite atopique (selon Hanifin et Rajka) preuve que la maladie oculaire fait partie du syndrome. Récemment, la prévalence élevée d'effets indésirables oculaires - conjonctivite et blépharite, principalement- secondaires à l'utilisation des inhibiteurs de l'IL-13 et de l'IL-4 chez les patients atteints de DA, a suscité un regain d'intérêt pour la recherche de comorbidités oculaires de la maladie. La prévalence de la conjonctivite est estimée à 31,7 % avec une surreprésentation de la conjonctivite allergique, alors que la kératoconjonctivite atopique et la conjonctivite infectieuse sont beaucoup moins fréquentes. La blépharite concerne 22,0 % des patients, la sécheresse oculaire 9,1 % et la kératite 1,4 %, tandis que le kératocône en touchait moins de 1 %.

Comorbidités psychiatriques

L'impact de la DA sur la santé mentale peut être considérable autant chez les adultes que chez les enfants. Le risque de dépression et d'anxiété est multiplié par 2, et le risque d'idées suicidaires par 4.

Par rapport à des témoins appariés, les patients adultes atteints de DA présentent des taux significativement plus élevés de dépression clinique (14,9 % contre 12,6 %), des taux numériquement plus élevés d'utilisation d'antidépresseurs (29,3 % contre 20,3 %) et des taux significativement plus élevés de suicidalité (12,2 % contre 6,4 %). La dépression est particulièrement présente chez les patients atteints de DA modérée à sévère.

Par ailleurs, la prévalence de la dépression parentale est également plus élevée chez les parents d’enfants atteints de la DA que chez les enfants non atteints (29,3 % contre 20,3 %).

Comorbidités auto-immunes

En cas le DA, le risque d'alopécie areata (AA) est multiplié par 10. D'autres maladies auto-immunes, en particulier le vitiligo, mais aussi l'urticaire chronique, la maladie cœliaque, les maladies inflammatoires de l'intestin (MII), le lupus érythémateux disséminé, la polyarthrite rhumatoïde (PR) et la maladie de Hashimoto sont également plus fréquentes chez les patients atteints de DA par rapport aux témoins (facteur d'augmentation de 1,5 à 2). Cette particularité s'explique en partie par des variantes de risque génétique partagées. 

L'association entre le diabète de type 1 et la DA reste floue, mais il semble que le risque soit abaissé. 

Facteurs de risque cardiovasculaire et comorbidités

Alors que les patients atteints de psoriasis présentent un risque cardio-vasculaire majoré, il ne semble pas que ce soit le cas en cas de DA. Néanmoins, il semblerait que le risque d'hypertension soit majoré en cas d'atteinte sévère. Il a également montré que l'utilisation de la ciclosporine augmentait ce risque. Par ailleurs, une étude récente a montré que le risque thromboembolique veineux n'est pas plus élevé chez les patients atteints de DA que chez les témoins.

Comorbidités infectieuses

La DA entraîne une altération de l'immunité cellulaire, et le risque d'infection virale cutanée est donc accru. Ainsi, la DA est associée à l'herpès simplex, à la varicelle, aux HPV et au molluscum contagiosum. En outre, les patients atteints de la DA présentent un risque 20 fois plus élevé de colonisation par Staphylococcus aureus (association dépendante de la gravité) à l'origine d'infections cutanées telles que l'érysipèle et l'impétigo, et plus rarement d'ostéites, de septicémies, d'encéphalites et d'endocardites. 

Cet article a d'abord été publié sur MediQuality le 25/04/2023

Dr Isabelle Catala

Référence
Thyssen JP, Halling AS, Schmid-Grendelmeier P, et al. Comorbidities of atopic dermatitis-what does the evidence say? J Allergy Clin Immunol. 2023 Jan 6:S0091-6749(22)01653-0. doi: 10.1016/j.jaci.2022.12.002.

Copyright © http://www.jim.fr

Réagir

Vos réactions

Soyez le premier à réagir !

Les réactions aux articles sont réservées aux professionnels de santé inscrits
Elles ne seront publiées sur le site qu’après modération par la rédaction (avec un délai de quelques heures à 48 heures). Sauf exception, les réactions sont publiées avec la signature de leur auteur.

Réagir à cet article